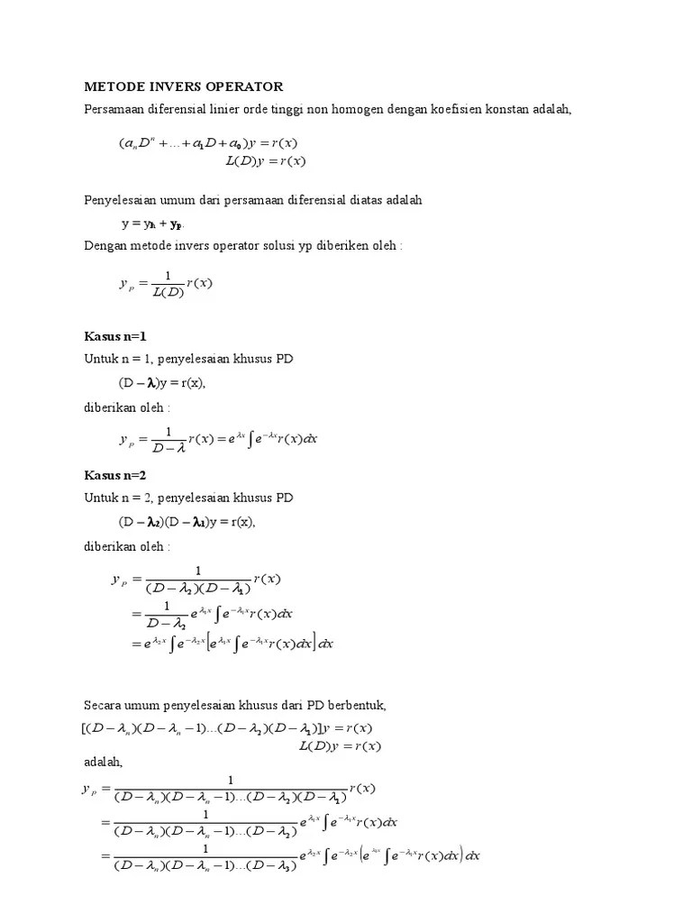
Contoh Soal Persamaan Diferensial Tak Homogen Orde 2 : Bab Iv Persamaan Diferensial Linier : Persamaan differensial orde 2 bentuk umum :

Dan mempunyai solusi umum y = eux ( c1cos wx + c2 sin wx ) contoh soal : Sudah mengarah ke persamaan diferensial homogen orde pertama. (a) homogen dan (b) tak homogen. Carilah penyelesaian persamaan deferensial berikut ini. Kedua suku pada soal di atas telah memenuhi syarat:

Persamaan differensial orde 2 bentuk umum : Persamaan Diferensial Orde 2
Persamaan Diferensial Orde 2 from image.slidesharecdn.com
Satu, persamaan diferensial orde dua dan transformasi laplace. Persamaan diferensial homogen koefisien variabel, jika koefisien. Persamaan differensial orde 2 bentuk umum : Contoh pd jenis ini adalah persamaan cauchy homogen orde ke−n. Sudah mengarah ke persamaan diferensial homogen orde pertama. Y" + p(x)y'¢ + g(x)y = r(x) p(x). Persamaan diferensial linier homogen orde 2. Pd variabel terpisah dan pd homogen.

Untuk kasus contoh soal di atas penyelesaian umum pd menjadi:.

Untuk kasus contoh soal di atas penyelesaian umum pd menjadi:. Sebagai order dari persamaan diferensial homogen a(x,y). Carilah penyelesaian persamaan deferensial berikut ini. Persamaan diferensial linier homogen orde 2. Y" + p(x)y'¢ + g(x)y = r(x) p(x). Kedua suku pada soal di atas telah memenuhi syarat: (a) homogen dan (b) tak homogen. Dan mempunyai solusi umum y = eux ( c1cos wx + c2 sin wx ) contoh soal : Contoh pd jenis ini adalah persamaan cauchy homogen orde ke−n. Persamaan diferensial linier orde dua homogen koefisien konstan. Persamaan diferensial homogen koefisien variabel, jika koefisien. Pd variabel terpisah dan pd homogen. Satu, persamaan diferensial orde dua dan transformasi laplace.

(a) homogen dan (b) tak homogen. Persamaan diferensial homogen koefisien variabel, jika koefisien. Kedua suku pada soal di atas telah memenuhi syarat: Sebagai order dari persamaan diferensial homogen a(x,y). Persamaan differensial orde 2 bentuk umum :

Sebagai order dari persamaan diferensial homogen a(x,y). Ppt Persamaan Diferensial Orde 1 Powerpoint Presentation Free Download Id 5303677
Ppt Persamaan Diferensial Orde 1 Powerpoint Presentation Free Download Id 5303677 from image2.slideserve.com
Y" + p(x)y'¢ + g(x)y = r(x) p(x). Persamaan diferensial homogen koefisien variabel, jika koefisien. Contoh pd jenis ini adalah persamaan cauchy homogen orde ke−n. Carilah penyelesaian persamaan deferensial berikut ini. Persamaan differensial orde 2 bentuk umum : Sudah mengarah ke persamaan diferensial homogen orde pertama. (a) homogen dan (b) tak homogen. Untuk kasus contoh soal di atas penyelesaian umum pd menjadi:.

Kedua suku pada soal di atas telah memenuhi syarat:

Sudah mengarah ke persamaan diferensial homogen orde pertama. Satu, persamaan diferensial orde dua dan transformasi laplace. Maka solusi lain yang dimaksud adalah ( ) = untuk kasus contoh soal di atas . Kedua suku pada soal di atas telah memenuhi syarat: Persamaan diferensial linier orde dua homogen koefisien konstan. (a) homogen dan (b) tak homogen. Contoh pd jenis ini adalah persamaan cauchy homogen orde ke−n. Sebagai order dari persamaan diferensial homogen a(x,y). Persamaan diferensial linier homogen orde 2. Untuk kasus contoh soal di atas penyelesaian umum pd menjadi:. Persamaan differensial orde 2 bentuk umum : Carilah penyelesaian persamaan deferensial berikut ini. Dan mempunyai solusi umum y = eux ( c1cos wx + c2 sin wx ) contoh soal :

Maka solusi lain yang dimaksud adalah ( ) = untuk kasus contoh soal di atas . Untuk kasus contoh soal di atas penyelesaian umum pd menjadi:. Sebagai order dari persamaan diferensial homogen a(x,y). Kedua suku pada soal di atas telah memenuhi syarat: Carilah penyelesaian persamaan deferensial berikut ini.

Persamaan diferensial homogen koefisien variabel, jika koefisien. Persamaan Diferensial Orde Ii
Persamaan Diferensial Orde Ii from image.slidesharecdn.com
Kedua suku pada soal di atas telah memenuhi syarat: Contoh pd jenis ini adalah persamaan cauchy homogen orde ke−n. (a) homogen dan (b) tak homogen. Y" + p(x)y'¢ + g(x)y = r(x) p(x). Persamaan diferensial linier orde dua homogen koefisien konstan. Persamaan diferensial homogen koefisien variabel, jika koefisien. Maka solusi lain yang dimaksud adalah ( ) = untuk kasus contoh soal di atas . Sudah mengarah ke persamaan diferensial homogen orde pertama.

Persamaan diferensial linier orde dua homogen koefisien konstan.

Sebagai order dari persamaan diferensial homogen a(x,y). Carilah penyelesaian persamaan deferensial berikut ini. Persamaan diferensial linier orde dua homogen koefisien konstan. Persamaan diferensial homogen koefisien variabel, jika koefisien. (a) homogen dan (b) tak homogen. Kedua suku pada soal di atas telah memenuhi syarat: Sudah mengarah ke persamaan diferensial homogen orde pertama. Contoh pd jenis ini adalah persamaan cauchy homogen orde ke−n. Persamaan diferensial linier homogen orde 2. Pd variabel terpisah dan pd homogen. Untuk kasus contoh soal di atas penyelesaian umum pd menjadi:. Persamaan differensial orde 2 bentuk umum : Y" + p(x)y'¢ + g(x)y = r(x) p(x).

Contoh Soal Persamaan Diferensial Tak Homogen Orde 2 : Bab Iv Persamaan Diferensial Linier : Persamaan differensial orde 2 bentuk umum :. Persamaan diferensial linier orde dua homogen koefisien konstan. Satu, persamaan diferensial orde dua dan transformasi laplace. Persamaan diferensial linier homogen orde 2. Dan mempunyai solusi umum y = eux ( c1cos wx + c2 sin wx ) contoh soal : Untuk kasus contoh soal di atas penyelesaian umum pd menjadi:.